Sistem Pendukung Keputusan Menggunakan Metode TOPSIS (Technique For Others Preference by Similarity to Ideal Solution)
Metode Topsis merupakan Metode pengambilan keputusan Multikriteria yang pertama kali diperkenalkan oleh Yoon dan Hwang (1981).
Kategori TOPSIS
Kategori dari metode TOPSIS adalah kategori Multi-Criteria Decision Making (MCDM), yaitu teknik pengambilan keputusan dari beberapa pilihan alternatif yang ada, khususnya MADM (Multi Attribute Decision Making)
TOPSIS bertujuan untuk menentukan solusi ideal positif dan solusi ideal negatif. Solusi ideal positif memaksimalkan kriteria manfaat dan meminimalkan kriteria biaya, sedangkan solusi ideal negatif memaksimalkan kriteria biaya dan meminimalkan kriteria manfaat (Fan dan Cheng, 2009 : 4)
Kriteria manfaat merupakan kriteria dimana ketika nilai kriteria tersebut semakin besar maka semakin layak pula untuk di pilih. Sedangkan kriteria biaya merupakan kebalikan dari kriteria manfaat, semakin kecil nilai dari kriteria tersebut maka akan semakin layak untuk dipilih.
- Dalam metode TOPSIS, alternatif yang optimal adalah yang paling dekat dengan solusi ideal positif dan paling jauh dari solusi ideal negatif.
Deskripsi Teknik Pemodelan
- TOPSIS menggunakan prinsip bahwa alternatif yang terpilih tidak hanya mempunyai jarak terpendek dari solusi ideal positif, namun juga memiliki jarak terpanjang dari solusi ideal negatif.
- Konsep ini banyak digunakan untuk menyelesaikan masalah keputusan secara praktis.
- Konsepnya sederhana dan mudah dipahami, komputasinya efisien dan memiliki kemampuan untuk mengukur kinerja relatif dari alternatif-alternatif keputusan kedalam bentuk matematis yang sederhana (Kusumadewi dkk., 2006)
Tahapan dalam Metode TOPSIS
- Membuat Matriks Keputusan yang Ternormalisasi
- Membuat Matriks Keputusan yang Ternormalisasi Terbobot
- Menentukan matriks solusi idel positif dan matriks solusi ideal negatif
- Menentukan jarak antara nilai setiap alternatif dengan matriks solusi ideal positif dan matriks solusi ideal negative
- Menentukan nilai preferensi untuk setiap alternative
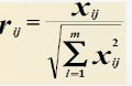
Langkah-langkah untuk menyelesaikan permasalahan menggunakan metode topsis
- Elemen rij hasil dari normalisasi dengan metode Euclidean length of a vector adalah :
- Membangun weighted normalized decision matrix Dengan bobot W= (w1, w2,…..,wn), maka normalisasi bobot matriks V adalah :
- Menentukan solusi ideal dan solusi ideal negatif. Solusi ideal dinotasikan A*, sedangkan solusi ideal negatif dinotasikan A-
4. Menghitung separasi. Si* adalah jarak (dalam pandangan Euclidean) alternatif dari solusi ideal didefinisikan sebagai:
Dan jarak terhadap solusi negatif-ideal didefinisikan sebagai:
- Menghitung kedekatan relatif terhadap solusi ideal
6. Merangking Alternatif. Alternatif dapat dirangking berdasarkan urutan Ci*. Maka dari itu, alternatif terbaik adalah salah satu yang berjarak terpendek terhadap solusi ideal dan berjarak terjauh dengan solusi negatif-ideal.
Semoga bermanfaat materi kuliah agan heru yang lalu ^^

Related projects
Paypal adalah salah satu alat pembayaran (Payment procesors) menggunakan internet, singkatnya rekening online. Dengan Paypal anda dapat beriklan di Facebook, Google, beli barang di ebay, lisensi software original, keanggotaan situs, urusan bisnis, mengirim uang ke pengguna Paypal lain di seluruh dunia dan banyak fungsi lainnya dengan mudah dan otomatis menggunakan internet, tanpa ribet, cepat dan mudah.
Dalam kesempatan ini kami menawarkan JASA PEMBUATAN AKUN PAYPAL DARI NOL SAMPAI VERIFIED. ANDA TERIMA BERES ALIAS SIAP PAKAI UNTUK ANDA. Paket yang kami tawarkan :
1.) Paket FULL
Pembuatan akun Dari NOL sampai VERIFIED.
Waktu pengerjaan : 3 – 5 hari.
BONUS VCC 1 TAHUN.
Biaya Pembuatan : Rp 140.000.
2.) Paket VCC
Hanya VCC (Virtual Credit Card) saja.
Waktu pengerjaan : setelah anda transfer langsung kami proses, tunggu beberapa menit langsung kami kirim detail VCC ke e-mail anda. Untuk kode Uxpuse waktu tunggu 2-3 hari.
Biaya : Rp 95.000
CARA PEMESANAN :
1.) VIA SMS ke No. : 085643850038 (format SMS : PP_NAMA LENGKAP_ALAMAT LENGKAP_NO.HP)
2.) VIA E-MAIL : herugan@gmail.com (format E-MAIL : PP_NAMA LENGKAP_ALAMAT LENGKAP_NO.HP)
PENTING :
* Kirimkan identitas asli anda sesuai dengan kartu identitas anda (KTP), beserta kode POS & Nomor HP.
* Pengerjaan setelah konfirmasi transfer dari pemesan.
* Setelah akun selesai (sudah verified) JANGAN langsung digunakan untuk transaksi (tunggu 1×24 jam), dan tetap mematuhi dan memperhatikan TIPS AMAN PAYPAL.
*Jangan transaksi di hari yang sama saat STATUS VERIFIED.
* Bila setelah akun diterima oleh pemesan, sepenuhnya merupakan tanggung jawab pemesan.
* Pemesan otomatis mematuhi peraturan yang berlaku.
FAST RESPONS : SMS KE 085643850038
TRANSFER KE REKENING BRI : 692301000269505 a.n HERU SOVIAN
Paypal adalah salah satu alat pembayaran (Payment procesors) menggunakan internet, singkatnya rekening online. Dengan Paypal anda dapat beriklan di Facebook, Google, beli barang di ebay, lisensi software original, keanggotaan situs, urusan bisnis, mengirim uang ke pengguna Paypal lain di seluruh dunia dan banyak fungsi lainnya dengan mudah dan otomatis menggunakan internet, tanpa ribet, cepat dan mudah.
Dalam kesempatan ini kami menawarkan JASA PEMBUATAN AKUN PAYPAL DARI NOL SAMPAI VERIFIED. ANDA TERIMA BERES ALIAS SIAP PAKAI UNTUK ANDA. Paket yang kami tawarkan :
1.) Paket FULL
Pembuatan akun Dari NOL sampai VERIFIED.
Waktu pengerjaan : 3 – 5 hari.
BONUS VCC 1 TAHUN.
Biaya Pembuatan : Rp 140.000.
2.) Paket VCC
Hanya VCC (Virtual Credit Card) saja.
Waktu pengerjaan : setelah anda transfer langsung kami proses, tunggu beberapa menit langsung kami kirim detail VCC ke e-mail anda. Untuk kode Uxpuse waktu tunggu 2-3 hari.
Biaya : Rp 95.000
CARA PEMESANAN :
1.) VIA SMS ke No. : 085643850038 (format SMS : PP_NAMA LENGKAP_ALAMAT LENGKAP_NO.HP)
2.) VIA E-MAIL : herugan@gmail.com (format E-MAIL : PP_NAMA LENGKAP_ALAMAT LENGKAP_NO.HP)
PENTING :
* Kirimkan identitas asli anda sesuai dengan kartu identitas anda (KTP), beserta kode POS & Nomor HP.
* Pengerjaan setelah konfirmasi transfer dari pemesan.
* Setelah akun selesai (sudah verified) JANGAN langsung digunakan untuk transaksi (tunggu 1×24 jam), dan tetap mematuhi dan memperhatikan TIPS AMAN PAYPAL.
*Jangan transaksi di hari yang sama saat STATUS VERIFIED.
* Bila setelah akun diterima oleh pemesan, sepenuhnya merupakan tanggung jawab pemesan.
* Pemesan otomatis mematuhi peraturan yang berlaku.
FAST RESPONS : SMS KE 085643850038
TRANSFER KE REKENING BRI : 692301000269505 a.n HERU SOVIAN
Paypal adalah salah satu alat pembayaran (Payment procesors) menggunakan internet, singkatnya rekening online. Dengan Paypal anda dapat beriklan di Facebook, Google, beli barang di ebay, lisensi software original, keanggotaan situs, urusan bisnis, mengirim uang ke pengguna Paypal lain di seluruh dunia dan banyak fungsi lainnya dengan mudah dan otomatis menggunakan internet, tanpa ribet, cepat dan mudah.
Dalam kesempatan ini kami menawarkan JASA PEMBUATAN AKUN PAYPAL DARI NOL SAMPAI VERIFIED. ANDA TERIMA BERES ALIAS SIAP PAKAI UNTUK ANDA. Paket yang kami tawarkan :
1.) Paket FULL
Pembuatan akun Dari NOL sampai VERIFIED.
Waktu pengerjaan : 3 – 5 hari.
BONUS VCC 1 TAHUN.
Biaya Pembuatan : Rp 140.000.
2.) Paket VCC
Hanya VCC (Virtual Credit Card) saja.
Waktu pengerjaan : setelah anda transfer langsung kami proses, tunggu beberapa menit langsung kami kirim detail VCC ke e-mail anda. Untuk kode Uxpuse waktu tunggu 2-3 hari.
Biaya : Rp 95.000
CARA PEMESANAN :
1.) VIA SMS ke No. : 085643850038 (format SMS : PP_NAMA LENGKAP_ALAMAT LENGKAP_NO.HP)
2.) VIA E-MAIL : herugan@gmail.com (format E-MAIL : PP_NAMA LENGKAP_ALAMAT LENGKAP_NO.HP)
PENTING :
* Kirimkan identitas asli anda sesuai dengan kartu identitas anda (KTP), beserta kode POS & Nomor HP.
* Pengerjaan setelah konfirmasi transfer dari pemesan.
* Setelah akun selesai (sudah verified) JANGAN langsung digunakan untuk transaksi (tunggu 1×24 jam), dan tetap mematuhi dan memperhatikan TIPS AMAN PAYPAL.
*Jangan transaksi di hari yang sama saat STATUS VERIFIED.
* Bila setelah akun diterima oleh pemesan, sepenuhnya merupakan tanggung jawab pemesan.
* Pemesan otomatis mematuhi peraturan yang berlaku.
FAST RESPONS : SMS KE 085643850038
TRANSFER KE REKENING BRI : 692301000269505 a.n HERU SOVIAN
Paypal adalah salah satu alat pembayaran (Payment procesors) menggunakan internet, singkatnya rekening online. Dengan Paypal anda dapat beriklan di Facebook, Google, beli barang di ebay, lisensi software original, keanggotaan situs, urusan bisnis, mengirim uang ke pengguna Paypal lain di seluruh dunia dan banyak fungsi lainnya dengan mudah dan otomatis menggunakan internet, tanpa ribet, cepat dan mudah.
Dalam kesempatan ini kami menawarkan JASA PEMBUATAN AKUN PAYPAL DARI NOL SAMPAI VERIFIED. ANDA TERIMA BERES ALIAS SIAP PAKAI UNTUK ANDA. Paket yang kami tawarkan :
1.) Paket FULL
Pembuatan akun Dari NOL sampai VERIFIED.
Waktu pengerjaan : 3 – 5 hari.
BONUS VCC 1 TAHUN.
Biaya Pembuatan : Rp 140.000.
2.) Paket VCC
Hanya VCC (Virtual Credit Card) saja.
Waktu pengerjaan : setelah anda transfer langsung kami proses, tunggu beberapa menit langsung kami kirim detail VCC ke e-mail anda. Untuk kode Uxpuse waktu tunggu 2-3 hari.
Biaya : Rp 95.000
CARA PEMESANAN :
1.) VIA SMS ke No. : 085643850038 (format SMS : PP_NAMA LENGKAP_ALAMAT LENGKAP_NO.HP)
2.) VIA E-MAIL : herugan@gmail.com (format E-MAIL : PP_NAMA LENGKAP_ALAMAT LENGKAP_NO.HP)
PENTING :
* Kirimkan identitas asli anda sesuai dengan kartu identitas anda (KTP), beserta kode POS & Nomor HP.
* Pengerjaan setelah konfirmasi transfer dari pemesan.
* Setelah akun selesai (sudah verified) JANGAN langsung digunakan untuk transaksi (tunggu 1×24 jam), dan tetap mematuhi dan memperhatikan TIPS AMAN PAYPAL.
*Jangan transaksi di hari yang sama saat STATUS VERIFIED.
* Bila setelah akun diterima oleh pemesan, sepenuhnya merupakan tanggung jawab pemesan.
* Pemesan otomatis mematuhi peraturan yang berlaku.
FAST RESPONS : SMS KE 085643850038
TRANSFER KE REKENING BRI : 692301000269505 a.n HERU SOVIAN
Paypal adalah salah satu alat pembayaran (Payment procesors) menggunakan internet, singkatnya rekening online. Dengan Paypal anda dapat beriklan di Facebook, Google, beli barang di ebay, lisensi software original, keanggotaan situs, urusan bisnis, mengirim uang ke pengguna Paypal lain di seluruh dunia dan banyak fungsi lainnya dengan mudah dan otomatis menggunakan internet, tanpa ribet, cepat dan mudah.
Dalam kesempatan ini kami menawarkan JASA PEMBUATAN AKUN PAYPAL DARI NOL SAMPAI VERIFIED. ANDA TERIMA BERES ALIAS SIAP PAKAI UNTUK ANDA. Paket yang kami tawarkan :
1.) Paket FULL
Pembuatan akun Dari NOL sampai VERIFIED.
Waktu pengerjaan : 3 – 5 hari.
BONUS VCC 1 TAHUN.
Biaya Pembuatan : Rp 140.000.
2.) Paket VCC
Hanya VCC (Virtual Credit Card) saja.
Waktu pengerjaan : setelah anda transfer langsung kami proses, tunggu beberapa menit langsung kami kirim detail VCC ke e-mail anda. Untuk kode Uxpuse waktu tunggu 2-3 hari.
Biaya : Rp 95.000
CARA PEMESANAN :
1.) VIA SMS ke No. : 085643850038 (format SMS : PP_NAMA LENGKAP_ALAMAT LENGKAP_NO.HP)
2.) VIA E-MAIL : herugan@gmail.com (format E-MAIL : PP_NAMA LENGKAP_ALAMAT LENGKAP_NO.HP)
PENTING :
* Kirimkan identitas asli anda sesuai dengan kartu identitas anda (KTP), beserta kode POS & Nomor HP.
* Pengerjaan setelah konfirmasi transfer dari pemesan.
* Setelah akun selesai (sudah verified) JANGAN langsung digunakan untuk transaksi (tunggu 1×24 jam), dan tetap mematuhi dan memperhatikan TIPS AMAN PAYPAL.
*Jangan transaksi di hari yang sama saat STATUS VERIFIED.
* Bila setelah akun diterima oleh pemesan, sepenuhnya merupakan tanggung jawab pemesan.
* Pemesan otomatis mematuhi peraturan yang berlaku.
FAST RESPONS : SMS KE 085643850038






